
1. 판례
[판시사항]
[1] 특허발명의 진보성 유무를 판단하는 기준 및 위 판단 기준은 선행 또는 공지의 발명에 기재된 상위개념에 포함되는 하위개념만을 구성요소의 전부 또는 일부로 하는 특허발명의 진보성을 판단할 때에도 마찬가지로 적용되는지 여부(적극)
[2] 선행발명에 이른바 마쿠쉬(Markush) 형식으로 기재된 화학식과 그 치환기의 범위 내에 이론상 포함되기는 하나 구체적으로 개시되지 않은 화합물을 청구범위로 하는 특허발명의 경우, 진보성을 판단할 때 구성의 곤란성을 따져 보아야 하는지 여부(적극) 및 그 방법
[3] 특허발명의 진보성을 판단할 때 그 발명이 갖는 특유한 효과도 함께 고려하여야 하는지 여부(적극) / 구성의 곤란성 여부 판단이 불분명한 경우라도 특허발명이 선행발명에 비하여 이질적이거나 양적으로 현저한 효과를 가지고 있다면 진보성이 부정되지 않는지 여부(적극)
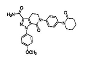
[4] ‘인자 Ⅹa(텐에이) 억제제로서의 락탐 함유 화합물 및 그의 유도체’라는 이름의 특허발명 중 청구범위 제1항은 ‘락탐 고리(도 1 참고)
)를 가지는 화합물 중 아픽사반(도 2 참고) 및 그의 제약상 허용되는 염’에 관한 발명인데, 제1항 발명이 ‘인자 Ⅹa 억제제로서의 질소 함유 헤테로비시클릭 화합물’에 관한 선행발명에 의해 진보성이 부정되는지 문제 된 사안에서, 제1항 발명은 통상의 기술자가 그 구성을 도출하는 것이 쉽다고 볼 수 없으므로 선행발명에 의하여 진보성이 부정되기는 어렵다고 한 사례


【판결요지】
[1] 발명의 진보성 유무를 판단할 때에는 선행기술의 범위와 내용, 진보성 판단의 대상이 된 발명과 선행기술의 차이, 그 발명이 속하는 기술분야에서 통상의 지식을 가진 사람(이하 ‘통상의 기술자’라고 한다)의 기술수준에 대하여 증거 등 기록에 나타난 자료에 기초하여 파악한 다음, 통상의 기술자가 특허출원 당시의 기술수준에 비추어 진보성 판단의 대상이 된 발명이 선행기술과 차이가 있는데도 그러한 차이를 극복하고 선행기술로부터 쉽게 발명할 수 있는지를 살펴보아야 한다. 특허발명의 청구범위에 기재된 청구항이 복수의 구성요소로 되어 있는 경우에는 각 구성요소가 유기적으로 결합한 전체로서의 기술사상이 진보성 판단의 대상이 되는 것이지 각 구성요소가 독립하여 진보성 판단의 대상이 되는 것은 아니므로, 그 특허발명의 진보성을 판단할 때에는 청구항에 기재된 복수의 구성을 분해한 후 각각 분해된 개별 구성요소들이 공지된 것인지 여부만을 따져서는 아니 되고, 특유의 과제 해결원리에 기초하여 유기적으로 결합된 전체로서의 구성의 곤란성을 따져 보아야 하며, 이때 결합된 전체 구성으로서의 발명이 갖는 특유한 효과도 함께 고려하여야 한다.
위와 같은 진보성 판단 기준은 선행 또는 공지의 발명에 상위개념이 기재되어 있고 위 상위개념에 포함되는 하위개념만을 구성요소의 전부 또는 일부로 하는 특허발명의 진보성을 판단할 때에도 마찬가지로 적용되어야 한다.
[2] 선행발명에 특허발명의 상위개념이 공지되어 있는 경우에도 구성의 곤란성이 인정되면 진보성이 부정되지 않는다. 선행발명에 발명을 이루는 구성요소 중 일부를 두 개 이상의 치환기로 하나 이상 선택할 수 있도록 기재하는 이른바 마쿠쉬(Markush) 형식으로 기재된 화학식과 그 치환기의 범위 내에 이론상 포함되기만 할 뿐 구체적으로 개시되지 않은 화합물을 청구범위로 하는 특허발명의 경우에도 진보성 판단을 위하여 구성의 곤란성을 따져 보아야 한다. 위와 같은 특허발명의 구성의 곤란성을 판단할 때에는 선행발명에 마쿠쉬 형식 등으로 기재된 화학식과 그 치환기의 범위 내에 이론상 포함될 수 있는 화합물의 개수, 통상의 기술자가 선행발명에 마쿠쉬 형식 등으로 기재된 화합물 중에서 특정한 화합물이나 특정 치환기를 우선적으로 또는 쉽게 선택할 사정이나 동기 또는 암시의 유무, 선행발명에 구체적으로 기재된 화합물과 특허발명의 구조적 유사성 등을 종합적으로 고려하여야 한다.
[3] 특허발명의 진보성을 판단할 때에는 그 발명이 갖는 특유한 효과도 함께 고려하여야 한다. 선행발명에 이론적으로 포함되는 수많은 화합물 중 특정한 화합물을 선택할 동기나 암시 등이 선행발명에 개시되어 있지 않은 경우에도 그것이 아무런 기술적 의의가 없는 임의의 선택에 불과한 경우라면 그와 같은 선택에 어려움이 있다고 볼 수 없는데, 발명의 효과는 선택의 동기가 없어 구성이 곤란한 경우인지 임의의 선택에 불과한 경우인지를 구별할 수 있는 중요한 표지가 될 수 있기 때문이다. 또한 화학, 의약 등의 기술분야에 속하는 발명은 구성만으로 효과의 예측이 쉽지 않으므로, 선행발명으로부터 특허발명의 구성요소들이 쉽게 도출되는지를 판단할 때 발명의 효과를 참작할 필요가 있고, 발명의 효과가 선행발명에 비하여 현저하다면 구성의 곤란성을 추론하는 유력한 자료가 될 것이다. 나아가 구성의 곤란성 여부의 판단이 불분명한 경우라고 하더라도, 특허발명이 선행발명에 비하여 이질적이거나 양적으로 현저한 효과를 가지고 있다면 진보성이 부정되지 않는다. 효과의 현저성은 특허발명의 명세서에 기재되어 통상의 기술자가 인식하거나 추론할 수 있는 효과를 중심으로 판단하여야 하고, 만일 그 효과가 의심스러울 때에는 그 기재 내용의 범위를 넘지 않는 한도에서 출원일 이후에 추가적인 실험 자료를 제출하는 등의 방법으로 그 효과를 구체적으로 주장ㆍ증명하는 것이 허용된다.
[4] ‘인자 Ⅹa(텐에이) 억제제로서의 락탐 함유 화합물 및 그의 유도체’라는 이름의 특허발명 중 청구범위 제1항은 ‘락탐 고리(도 1 참조)를 가지는 화합물 중 아픽사반(도 2 참조) 및 그의 제약상 허용되는 염’에 관한 발명인데, 제1항 발명이 ‘인자 Ⅹa 억제제로서의 질소 함유 헤테로비시클릭 화합물’에 관한 선행발명에 의해 진보성이 부정되는지 문제 된 사안에서, 선행발명에 마쿠쉬(Markush) 형식으로 기재된 화학식과 그 치환기의 범위 내에 포함될 수 있는 화합물이 이론상 수억 가지에 이르는 점, 선행발명의 ‘보다 바람직한 실시태양’으로 기재된 모핵(모핵) 구조에서 치환기로 락탐 고리를 우선적으로 고려할 만한 사정이 없고, 선행발명의 ‘보다 더더욱 바람직한 실시태양’으로 기재된 구체적 화합물 중 제1항 발명과 전체적으로 유사하거나 치환기로 락탐 고리를 갖는 화합물이 없는 점, 특허발명의 명세서 기재 등에 의하면 제1항 발명은 공지된 인자 Ⅹa 억제제에 비해 약동학적 효과, 병용투여 효과가 개선된 것인 점, 선행발명에서 제1항 발명의 구조를 우선적으로 또는 쉽게 선택할 사정이나 동기 또는 암시가 있다고 보기도 어려워 통상의 기술자가 선행발명으로부터 기술적 가치가 있는 최적의 조합을 찾아 제1항 발명에 도달하기까지는 수많은 선택지를 조합하면서 거듭된 시행착오를 거쳤을 것인 점 등을 종합하여 보면, 통상의 기술자가 제1항 발명의 내용을 이미 알고 있음을 전제로 사후적으로 판단하지 않는 한 그 구성을 도출하는 것이 쉽다고 볼 수 없으므로, 제1항 발명은 선행발명에 의하여 진보성이 부정되기는 어렵다고 한 사례.
【참조조문】
[1] 특허법 제29조 제2항 [2] 특허법 제29조 제2항 [3] 특허법 제29조 제2항 [4] 특허법 제29조 제2항
【참조판례】
[1] 대법원 2007. 9. 6. 선고 2005후3284 판결(공2007하, 1582)
대법원 2016. 11. 25. 선고 2014후2184 판결(공2017상, 47)
[2] 대법원 2009. 10. 15. 선고 2008후736, 743 판결(공2009하, 1898)
[3] 대법원 2002. 8. 23. 선고 2000후3234 판결(공2002하, 2243)
대법원 2003. 4. 25. 선고 2001후2740 판결(공2003상, 1363)
【전 문】
【원고, 상고인】 브리스톨-마이어스 스퀴브 홀딩스 아일랜드 언리미티드 컴퍼니(Bristol-Myers Squibb Holdings Ireland Unlimited Company, 변경 전 상호: 브리스톨-마이어스 스퀴브 홀딩스 아일랜드) (소송대리인 변호사 유영선 외 6인)
【피고, 피상고인】 주식회사 네비팜 외 3인 (소송대리인 변리사 박종혁 외 2인)
【피고들 보조참가인】 주식회사 종근당 외 1인 (소송대리인 법무법인(유한) 세종 외 2인)
【원심판결】 특허법원 2019. 3. 29. 선고 2018허2717 판결
【주 문】
원심판결을 파기하고, 사건을 특허법원에 환송한다.
【이 유】
상고이유(상고이유서 제출기간이 지난 후에 제출된 상고이유보충서 등의 기재는 상고이유를 보충하는 범위 내에서)를 판단한다.
1. 사건의 개요와 쟁점
가. 피고들은 원고를 상대로 특허심판원에 ‘인자 Ⅹa(텐에이, 이하 ‘Ⅹa’라고 한다) 억제제로서의 락탐 함유 화합물 및 그의 유도체’라는 이름의 이 사건 특허발명(특허번호 생략)의 진보성이 부정된다고 주장하면서 등록무효심판을 청구하였다. 특허심판원은 피고들의 심판청구를 병합하여 심리한 다음, 2018. 2. 28. 이 사건 특허발명은 선행발명에 의하여 진보성이 부정된다는 이유로 피고들의 심판청구를 인용하는 이 사건 심결을 하였다.
나. 원고는 2018. 3. 14. 피고들을 상대로 특허법원에 이 사건 심결의 취소를 구하는 소를 제기하였다.
다. 이 사건의 쟁점은 이 사건 특허발명의 진보성이 부정되는지 여부이다.
2. 이 사건 특허발명에 적용될 진보성 판단 기준
가. 특허발명의 진보성 판단 기준
발명의 진보성 유무를 판단할 때에는 선행기술의 범위와 내용, 진보성 판단의 대상이 된 발명과 선행기술의 차이, 그 발명이 속하는 기술분야에서 통상의 지식을 가진 사람(이하 ‘통상의 기술자’라고 한다)의 기술수준에 대하여 증거 등 기록에 나타난 자료에 기초하여 파악한 다음, 통상의 기술자가 특허출원 당시의 기술수준에 비추어 진보성 판단의 대상이 된 발명이 선행기술과 차이가 있는데도 그러한 차이를 극복하고 선행기술로부터 쉽게 발명할 수 있는지를 살펴보아야 한다(대법원 2016. 11. 25. 선고 2014후2184 판결 등 참조). 특허발명의 청구범위에 기재된 청구항이 복수의 구성요소로 되어 있는 경우에는 각 구성요소가 유기적으로 결합한 전체로서의 기술사상이 진보성 판단의 대상이 되는 것이지 각 구성요소가 독립하여 진보성 판단의 대상이 되는 것은 아니므로, 그 특허발명의 진보성을 판단할 때에는 청구항에 기재된 복수의 구성을 분해한 후 각각 분해된 개별 구성요소들이 공지된 것인지 여부만을 따져서는 아니 되고, 특유의 과제 해결원리에 기초하여 유기적으로 결합된 전체로서의 구성의 곤란성을 따져 보아야 하며, 이때 결합된 전체 구성으로서의 발명이 갖는 특유한 효과도 함께 고려하여야 한다(대법원 2007. 9. 6. 선고 2005후3284 판결 등 참조).
나. 특허발명의 상위개념이 공지된 경우
위와 같은 진보성 판단 기준은 선행 또는 공지의 발명에 상위개념이 기재되어 있고 위 상위개념에 포함되는 하위개념만을 구성요소의 전부 또는 일부로 하는 특허발명의 진보성을 판단할 때에도 마찬가지로 적용되어야 한다.
선행발명에 특허발명의 상위개념이 공지되어 있는 경우에도 구성의 곤란성이 인정되면 진보성이 부정되지 않는다. 선행발명에 발명을 이루는 구성요소 중 일부를 두 개 이상의 치환기로 하나 이상 선택할 수 있도록 기재하는 이른바 마쿠쉬(Markush) 형식으로 기재된 화학식과 그 치환기의 범위 내에 이론상 포함되기만 할 뿐 구체적으로 개시되지 않은 화합물을 청구범위로 하는 특허발명의 경우에도 진보성 판단을 위하여 구성의 곤란성을 따져 보아야 한다. 위와 같은 특허발명의 구성의 곤란성을 판단할 때에는 선행발명에 마쿠쉬 형식 등으로 기재된 화학식과 그 치환기의 범위 내에 이론상 포함될 수 있는 화합물의 개수, 통상의 기술자가 선행발명에 마쿠쉬 형식 등으로 기재된 화합물 중에서 특정한 화합물이나 특정 치환기를 우선적으로 또는 쉽게 선택할 사정이나 동기 또는 암시의 유무, 선행발명에 구체적으로 기재된 화합물과 특허발명의 구조적 유사성 등을 종합적으로 고려하여야 한다(대법원 2009. 10. 15. 선고 2008후736, 743 판결 등은 ‘이른바 선택발명의 진보성이 부정되지 않기 위해서는 선택발명에 포함되는 하위개념들 모두가 선행발명이 갖는 효과와 질적으로 다른 효과를 갖고 있거나, 질적인 차이가 없더라도 양적으로 현저한 차이가 있어야 하고, 이때 선택발명의 발명의 상세한 설명에는 선행발명에 비하여 위와 같은 효과가 있음을 명확히 기재하여야 한다.’고 판시하였다. 이는 구성의 곤란성이 인정되기 어려운 사안에서 효과의 현저성이 있다면 진보성이 부정되지 않는다는 취지이므로, 선행발명에 특허발명의 상위개념이 공지되어 있다는 이유만으로 구성의 곤란성을 따져 보지도 아니한 채 효과의 현저성 유무만으로 진보성을 판단하여서는 아니 된다).
특허발명의 진보성을 판단할 때에는 그 발명이 갖는 특유한 효과도 함께 고려하여야 한다. 선행발명에 이론적으로 포함되는 수많은 화합물 중 특정한 화합물을 선택할 동기나 암시 등이 선행발명에 개시되어 있지 않은 경우에도 그것이 아무런 기술적 의의가 없는 임의의 선택에 불과한 경우라면 그와 같은 선택에 어려움이 있다고 볼 수 없는데, 발명의 효과는 선택의 동기가 없어 구성이 곤란한 경우인지 임의의 선택에 불과한 경우인지를 구별할 수 있는 중요한 표지가 될 수 있기 때문이다. 또한 화학, 의약 등의 기술분야에 속하는 발명은 구성만으로 효과의 예측이 쉽지 않으므로, 선행발명으로부터 특허발명의 구성요소들이 쉽게 도출되는지를 판단할 때 발명의 효과를 참작할 필요가 있고, 발명의 효과가 선행발명에 비하여 현저하다면 구성의 곤란성을 추론하는 유력한 자료가 될 것이다. 나아가 구성의 곤란성 여부의 판단이 불분명한 경우라고 하더라도, 특허발명이 선행발명에 비하여 이질적이거나 양적으로 현저한 효과를 가지고 있다면 진보성이 부정되지 않는다. 효과의 현저성은 특허발명의 명세서에 기재되어 통상의 기술자가 인식하거나 추론할 수 있는 효과를 중심으로 판단하여야 하고(대법원 2002. 8. 23. 선고 2000후3234 판결 등 참조), 만일 그 효과가 의심스러울 때에는 그 기재 내용의 범위를 넘지 않는 한도에서 출원일 이후에 추가적인 실험 자료를 제출하는 등의 방법으로 그 효과를 구체적으로 주장ㆍ증명하는 것이 허용된다(대법원 2003. 4. 25. 선고 2001후2740 판결 참조).
3. 원심의 판단
원심은 다음과 같이 판단하였다.
이 사건 특허발명은 선행발명에 기재된 상위개념에 포함되는 하위개념만을 구성요소로 하는 선택발명에 해당한다. 선택발명의 경우 선행발명에서 특허발명을 배제하는 부정적 교시 또는 시사가 있는 경우이거나, 특허출원 당시의 기술수준에 비추어 상위개념의 선행발명을 파악할 수 있는 선행문헌에 선행발명의 상위개념으로 일반화하여 당해 특허발명의 하위개념으로까지 확장할 수 있는 내용이 개시되어 있지 않는 경우 등 예외적인 경우를 제외하고는 명세서에 기재되어 있는 효과를 중심으로 엄격한 특허요건을 적용하여 진보성을 판단하여야 한다. 이 사건은 위와 같은 예외적인 경우에 해당하지 않으므로 엄격한 특허요건이 적용되어야 하는데, 이 사건 특허발명이 선행발명에 비하여 이질적 효과나 양적으로 현저한 효과를 가지고 있다는 점이 명세서에 기재되어 있지 않으므로 이 사건 특허발명이 그와 같은 효과를 가지고 있다고 보기 어렵다. 따라서 이 사건 특허발명은 진보성이 부정된다.
4. 이 사건 특허발명의 진보성 판단 기준에 관한 법리오해 여부(상고이유 제1점)
앞서 본 법리와 기록에 비추어 살펴본다.
가. 원심판결 기재 선행발명은 인자 Ⅹa 억제제로서 유용한 새로운 질소 함유 헤테로비시클릭 화합물 등을 제공하는 것을 목적으로 하고, 이를 달성하기 위해 66개의 질소 함유 헤테로비시클릭 구조를 모핵(모핵)으로 갖는 화합물군이 인자 Ⅹa의 억제제로서 유용하다는 것을 밝혀냈다는 데에 발명의 특징이 있다.
나. 선행발명은 66개의 모핵 구조로부터 선택되는 화합물 및 각 모핵 구조에 적용될 수 있는 치환기들의 종류와 선택 가능한 원자 등을 다양하게 나열하고 있다. 여기서 제시된 화학식은 모핵 구조의 선택과 각 치환기의 조합에 따라 이론상 수억 가지 이상의 화합물을 포함하게 된다.
다. 한편 이 사건 특허발명은 인자 Ⅹa 억제제로서 유용한 새로운 락탐 함유 화합물 및 그의 유도체 등을 제공하기 위한 것으로, 락탐 고리(도 1 참조)를 가지는 화합물들이 인자 Ⅹa 억제제로서 유용하고 우수한 약동학적 성질을 가진다는 것을 밝혀냈다는 점에 발명의 특징이 있다. 이 사건 특허발명의 청구범위 제1항(이하 ‘이 사건 제1항 발명’이라고 하고, 다른 청구항도 같은 방식으로 기재한다)은 락탐 고리를 가지는 화합물 중 아픽사반(도 2 참조) 및 그의 제약상 허용되는 염에 관한 것이다.
라. 선행발명에 일반식으로 기재된 화합물로부터 이 사건 제1항 발명에 이르기 위해서는, 선행발명에 마쿠쉬 타입으로 기재된 화합물 중 1단계 실시태양으로 우선순위 없이 나열된 66개의 모핵 중 제1 모핵(도 3 참조)을 선택한 후 다시 위 모핵 구조의 모든 치환기들을 특정한 방식으로 동시에 선택하여 조합하여야 한다.

특히 이 사건 제1항 발명의 효과를 나타내는 핵심적인 치환기로 볼 수 있는 락탐 고리는 제1 모핵의 치환기 A에 연결된 치환기 B 부분에 위치하여야 하는데, 선행발명에는 위와 같은 락탐 고리가 구체적으로 개시되어 있지도 않다. 선행발명의 ‘보다 바람직한 실시태양’으로 기재된 34개의 모핵 구조에서 치환기 B로 가능한 수많은 구조 중 락탐 고리를 우선적으로 고려할 만한 사정도 없다.
마. 선행발명의 ‘보다 더더욱 바람직한 실시태양’으로 기재된 총 107개의 구체적 화합물들을 살펴보더라도 이 사건 제1항 발명과 전체적으로 유사한 구조를 가지고 있거나 치환기 B로서 락탐 고리를 갖는 화합물을 찾아볼 수 없다.
바. 이 사건 특허발명의 명세서 기재 및 출원일 이후 제출된 실험자료 등에 의하면, 이 사건 제1항 발명은 공지된 인자 Ⅹa 억제제와 비교하여 개선된 Ⅹa 억제활성 및 선택성을 가지고, 혈액 농도 최고-최저 특성을 감소시키는 인자(청정률과 분포용적)와 수용체에서 활성 약물의 농도를 증가시키는 인자(단백질 결합, 분포용적) 등을 조절하여 약물의 생체 내에서의 흡수, 분포, 비축, 대사, 배설에 관한 약동학적 효과를 개선하였으며, 다른 약물들과 동시에 투여될 수 있는 병용투여 효과를 개선한 발명임을 알 수 있다.
사. 우수한 약리 효과를 가지는 화합물을 실험 없이 화학 구조에만 기초하여 예측하는 것은 매우 어려우므로, 신규 화합물을 개발하는 통상의 기술자는 이미 알려진 생물학적 활성을 가진 화합물을 기초로 구조적으로 유사한 화합물이나 유도체를 설계하고 합성한 후 그 약효를 평가하는 과정을 거쳐 개선된 약효를 가지는 화합물을 찾게 되고, 보다 우수한 약효를 가지는 화합물을 찾을 때까지 이러한 작업을 반복하게 된다. 그런데 선행발명과 이 사건 제1항 발명은 주목하고 있는 화합물 및 그 구조가 다르고, 이 사건 제1항 발명의 구조를 우선적으로 또는 쉽게 선택할 사정이나, 동기 또는 암시가 있다고 보기도 어렵기 때문에, 통상의 기술자가 선행발명으로부터 기술적 가치가 있는 최적의 조합을 찾아 이 사건 제1항 발명에 도달하기까지는 수많은 선택지를 조합하면서 거듭된 시행착오를 거쳐야 할 것으로 보인다.
아. 위와 같은 사정들을 종합하여 보면, 이 사건 제1항 발명은 통상의 기술자가 그 발명의 내용을 이미 알고 있음을 전제로 사후적으로 판단하지 않는 한 선행발명으로부터 그 구성을 도출하는 것이 쉽다고 볼 수 없고 개선된 효과도 있으므로, 선행발명에 의하여 진보성이 부정되기는 어려워 보인다. 아픽사반을 청구범위로 하는 이 사건 제1항 발명의 진보성이 부정되지 않는다면, ‘하기 화학식 1(아픽사반)로 표시되는 화합물’을 청구범위로 하는 이 사건 제2항 발명 역시 진보성이 부정되기는 어렵다.
자. 그럼에도 원심은 이와 달리 앞서 본 바와 같은 이유로 구성의 곤란성 여부는 따져 보지도 않은 채 선행발명에 비하여 이질적 효과나 양적으로 현저한 효과가 인정되기 어렵다는 이유만으로 이 사건 특허발명의 진보성이 부정된다고 판단하였다. 이러한 원심판결에는 특허발명의 진보성 판단에 관한 법리를 오해하고 필요한 심리를 다하지 아니하여 판결에 영향을 미친 잘못이 있다.
5. 결론
그러므로 나머지 상고이유에 대하여 더 나아가 판단할 필요 없이 원심판결을 파기하고 사건을 다시 심리ㆍ판단하도록 하기 위하여 원심법원에 환송하기로 하여, 관여 대법관의 일치된 의견으로 주문과 같이 판결한다.
대법관 김재형(재판장) 민유숙 이동원(주심) 노태악
(출처 : 대법원 2021. 4. 8. 선고 2019후10609 판결 [등록무효(특)] > 종합법률정보 판례)
2. 관련 논점
특허법 강의 - [9] 선택발명
※본 포스팅은 특허법에 대해 공부하시는 분들, 변리사 수험생, 지식재산능력시험(IPAT)을 준비하시는 분들을 위한 것입니다. 수험적으로 이용하시는 것은 무료입니다. ※내용 중 판례는 가능한
ulachacha.tistory.com
특허법 강의 - [4] 마쿠쉬(Markush) 청구항
※본 포스팅은 특허법에 대해 공부하시는 분들, 변리사 수험생, 지식재산능력시험(IPAT)을 준비하시는 분들을 위한 것입니다. 수험적으로 이용하시는 것은 무료입니다. ※내용 중 판례는 가능한
ulachacha.tistory.com
특허법 강의 - [13] 진보성 판단방법
※본 포스팅은 특허법에 대해 공부하시는 분들, 변리사 수험생, 지식재산능력시험(IPAT)을 준비하시는 분들을 위한 것입니다. 수험적으로 이용하시는 것은 무료입니다. ※내용 중 판례는 가능한
ulachacha.tistory.com